人们化验分析时总是希望获得准确的分析结果,但是,即是选择最准确的分析方法、使用最精密的仪器设备,由技术熟练的人员操作,对于同一样品进行多次重复分析,所得的结果不会完全相同,也不可能得到绝对准确的结果。这就表明,误差是客观存在的。因此,定量分析就必须对所测的数据进行归纳、取舍等一系列分析处理。根据不同分析任务,对准确度的要求不同,对分析结果的可靠性与精密度要作出合理的判断和正确表述。为此,化验者应该了解化验过程中产生误差的原因及误差出现的规律,并采取相应措施减小误差,使化验结果尽量地接近客观的真实性。
误差产生的原因
根据误差产生的原因和性质,将误差分为系统误差和偶然误差两大类。
1. 系统误差
系统误差又称可测误差,它是由化验操作过程中某种固定原因造成的。它具有单向性,即正负、大小都有一定的规律性,当重复进行化验分析时会重复出现。若找出原因,即可设法减小到可忽略的程度。在化验分析中,系统误差产生的原因有下列几个方面。
(1)方法误差:是指化验方法本身造成的误差。例如重量分析中,沉淀的溶解以及共沉淀现象;滴定分析中反应进行不完全,由指示剂的终点与化学计量点不符合以及滴定副反应等,都会引起化验结果偏高或偏低。
(2)仪器误差:它是由于使用的仪器本身不够精密所造成的。如使用的容量仪器刻度不准又未经校正;天平不等臂;砝码数值不准确;分光光度法波长不准等引起的误差。
(3)试剂误差:由于试剂不纯或蒸馏水不纯,含有被测物或干扰物而引起的误差。
(4)操作误差:由于化验人员对分析操作不熟练,个人对终点颜色的敏感性不同,判断偏深或偏浅,对刻度读数不正确等引起的化验误差。
系统误差是重复地以固定形式出现的,增加平行测定次数,采取数理统计的方法不能消除系统误差。
系统误差校正方法:采用标准方法与标准样品进行对照实验;根据系统误差产生的原因采取相应的措施,如进行仪器的校正以减小仪器的系统误差;采用纯度高的试剂或进行空白试验,校正试剂误差;严格训练与提高操作人员的技术业务水平,以减少操作误差等。
2. 偶然误差
偶然误差也称随机误差。它是由某些难以控制、无法避免的偶然因素造成的,其大小与正负值都是不固定的。如操作中温度、湿度、灰尘等的影响都会引起分析数值的波动。
偶然误差服从正态分布规律(随机统计规律,又称高斯分布),具有如下的特点:
(1)在一定的条件下,在有限次数测量值中,其误差的绝对值不会超过一定界限。
(2)同样大小的正负值的偶然误差,几乎有相等的出现机率,小误差出现的机率大,大误差出现的机率小。
正态分布曲线下面的面积表示全部数据重现的概率的总和,应当是100%。出现μ值的概率为最大。
为了减少偶然误差,应该重复多次平行实验并取结果的平均值。在消除了系统误差的条件下,多次测量结果的平均值可能更接近真实值。
应该指出,这两类误差的划分并非绝对的,有时很难区别。例如判断滴定终点的迟早、观察颜色的深浅,有系统误差也含有偶然误差。通常,偶然误差较系统误差更具有普遍意义。
化验工作中的“过失误差”不属于这两类误差。在实际工作中,由于操作人员的粗心大意或未按操作规程办事,造成误差,如溶液损失、加错试剂、读错或记错数据、计算错误等,这些都是不应该有的现象,称之过失误差。只要操作者认真细心,严格按操作规程办事,养成良好的工作作风,这种过失是能避免的。不允许把过失误差当成偶然误差。
1. 准确度
准确度是指实验测得值与真实值之间相符合的程度。准确度的高低,常以误差的大小来衡量,即误差越小,准确度越高;误差越大,准确度越低。
误差有两种表示方法:绝对误差和相对误差。
误差小,表示测得值和真实值接近,测定准确度高。反之,误差越大,测量准确度越低。若测得值大于真实值,误差为正值。反之,误差为负值。相对误差反映出误差在测定结果中所占百分数,它更具有实际意义。
客观存在的真实值是难以准确知道的,实际工作中往往用“标准值”代替真实值来检查分析方法的准确度。“标准值”是采用多种可靠的分析方法,由具有丰富经验的分析人员,经过反复多次测得的准确结果。如国家标准物质给定值。有时也常用标准方法通过多次重复测定,求出算术平均值作为真实值。
例:假设第1次测定值为8.30,真实值为8.34,则:
假设另一次测定值为80.35,真实值为80.39,则:
绝对误差(E) = 80.35 - 80.39 = -0.04
上述两次测定的绝对误差是相同的,但它们的相对误差却不相同。相对误差是指误差在真实值中所占的百分数。第2次比第1次测定相对误差小,表示第2次测定准确度高。
对于多次测量结果,用算术平均值计算其准确度时:
2. 精密度
精密度是指在相同条件下,n次重复测定结果彼此相符合的程度。精密度的好坏常用偏差表示,偏差小说明精密度好。精密度可用以下几种偏差表示。
(1)绝对偏差与相对偏差
从上式可知,绝对偏差是指单次测定与平均值的差值。相对偏差是指绝对偏差在平均值中所占的百分率。由此可知,绝对偏差和相对偏差只能用来衡量单次测定结果对平均值的偏离程度。为了更好地说明精密度,在一般化验工作中常用平均偏差来(d⁻)表示。
(2)平均偏差与相对平均偏差
平均偏差是指单次测量值与平均值的偏差(取绝对值)之和,除以测定次数。
即:
例:计算55.51, 55.50, 55.46, 55.49, 55.51一组5次测量值的平均值(x⁻),平均偏差(d⁻),相对平均偏差(d%)。解:
(3)极差与相对极差
极差(R)也称全距,用极差(R)表示测定数据的精密度不够贴切,但其计算简单,在食品分析中有时应用。
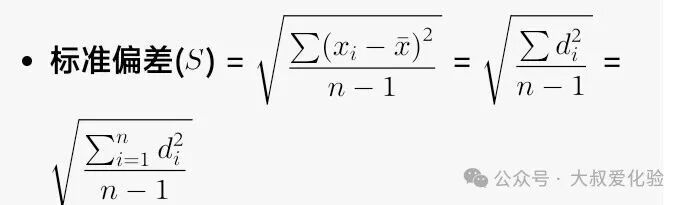
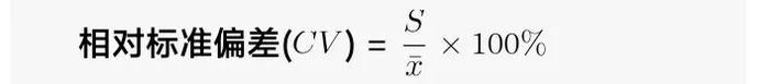
(4)标准偏差与相对标准偏差
标准偏差是应用最广的、可靠的精密度表示方式。它能精确地反映测定数据之间的离散特性,是把单次测定值对平均值的偏差先平方起来再总和。它比平均偏差更灵敏地反映出较大偏差的存在,又比极差更充分地引用了全部数据的信息。在统计学上,式中n-1称为自由度,常用f表示。
相对标准偏差又称变异系数(CV),是指标准偏差在平均值x⁻中所占的百分率。
使用时要注意,标准偏差(S)是对有限的测定次数而言,表示各测定值对平均值x⁻的偏离。表示无限次数测定时,要使用总体标准偏差σ。
标准偏差(S)、相对标准偏差(CV)与总体标准偏差σ等三式中符号的意义与平均偏差、相对平均偏差式中符号意义相同。
(5)平均值的标准偏差
式中:
S——标准偏差;
n——测定次数。
从式中可见,测定次数n越多,Sx⁻就越少,即x⁻值越可靠。所以增加测定次数可以提高测定的精密度。Sx⁻与S的比值,随n的增加减少很快。但当n>5后,Sx⁻与S的比值就变化缓慢了。因此,实际工作中测定次数无需过多,通常4~6次就可以了。
例:分析铁矿中铁的含量得到如下数据(%):37.45, 37.20, 37.50, 37.30, 37.25。计算此结果的算术平均值、极差、平均偏差、标准偏差(变异系数)、相对标准偏差与平均值的标准偏差。
解:
3. 公差
误差和偏差是两个不同的概念,误差是以真实值作标准,偏差是以多次测定值的平均值为标准。不过,由于真实值是无法准确知道的,故人们常以多次测定结果的平均值代替真实值进行计算。显然,这样算出来的还是偏差。正因为如此,在生产部门就不再强调误差与偏差这两个概念的区别,一般笼统地称为误差,并且用公差范围来表示允许误差的大小。
公差是生产部门对允许误差的一种表示方法。公差范围的大小是根据生产需要和实际可能确定的。例如,一般工业分析,允许相对误差在百分之几到千分之几。而一些原子量和某些常数的测定,允许的相对误差常小于十万分之几,甚至百万分之几。所谓可能,就是依方法的准确度、试样的组成情况而确定允许误差的大小,各种分析方法能够达到的准确度不同,比如比色、分光光度、原子光谱等方法误差较大,而重量分析、容量分析的误差就小。另外,试样组成越复杂,测定时干扰可能越大,这样只能允许较大的误差。
对于每一类物质的具体分析工作,各主管部门都规定了具体的公差范围。如果测定结果超出允许的公差范围,叫做超差。遇到超差,该项化验分析必须重做。
4. 准确度与精密度的关系
关于准确度与精密度的定义及确定方法,前面已经叙述。准确度与精密度是两个不同的概念,它们相互之间有一定的关系。测定分析结果必须从准确度和精密度两方面来度量。
下表列出甲、乙、丙、丁四人分析同一试样中铁含量的结果。
分析人员 1 2 3 4 平均值 平均偏差 真实值 差值甲 37.38 37.42 37.47 37.50 37.44 0.036 37.40 +0.04乙 37.21 37.25 37.28 37.32 37.27 0.035 37.40 -0.17丙 37.10 36.40 36.50 37.04 36.41 0.616 37.40 -0.99丁 36.70 37.10 37.50 37.90 37.30 0.42 37.40 -0.10
由上可看出,甲所得结果准确度和精密度均好,结果可靠。乙的精密度虽好,但准确度不太高。丙的精密度与准确度均差。丁的平均值接近于真实值,但几个数据分散性大,精密度太差,仅是由于大的正负误差相互抵消才使结果接近真实值的。
化验误差核心知识点速记
1. 系统误差:固定原因引起,单向、可重复、可校正,分为方法误差、仪器误差、试剂误差、操作误差。2. 偶然误差:随机因素引起,服从正态分布,可通过多次平行测定减小。3. 过失误差:粗心操作造成,应避免,不可当作偶然误差。4. 准确度:测定值与真实值的符合程度,用误差表示。5. 绝对误差= 测得值 − 真实值6. 相对误差= 绝对误差 / 真实值 × 100%7. 精密度:多次测定结果相互符合程度,用偏差表示。8. 绝对偏差= 单次测定值 − 平均值9. 相对偏差= 绝对偏差 / 平均值 × 100%10. 平均偏差= 各绝对偏差绝对值之和 / 测定次数11. 相对平均偏差= 平均偏差 / 平均值 × 100%12. 极差= 最大值 − 最小值13. 标准偏差= √(偏差平方和 / (测定次数−1))14. 相对标准偏差= 标准偏差 / 平均值 × 100%15. 平均值的标准偏差= 标准偏差 / √测定次数16. 公差:生产部门规定的允许误差范围,超差需重做。17. 精密度是准确度的先决条件,高精密度不一定高准确度,需校正系统误差。
综上所述:精密度是保证准确度的先决条件,只有精密度好,才能得到好的准确度。若精密度差,所测结果不可靠,就失去了衡量准确度的前提。提高精密度不一定能保证高的准确度,有时还须进行系统误差的校正,才能得到高的准确度。
大叔爱化验
展源
何发
2026-03-24
2026-04-07
2026-04-28
2026-03-24
2026-03-13
2026-03-03
2026-04-10
2026年1月末,距离从霍尼韦尔正式分拆独立,并在纳斯达克挂牌上市将满百日时,全新的特种材料公司 Solstice Advanced Materials在上海举办了其独立运营后的首次中国媒体见面会。
作者:张明
评论
加载更多